- MASt3R는 두개의 이미지가 주어졌을때 pairwise pixel correspondences (matches)를 만들어내는 파이프라인
- 전통적인 Keypoint-based Matching 파이프라인은 보통 3단계로 구성됨:
- Sparse & repeatable keypoint detection
- Locally invariant feature description
- Feature space distance 기반 keypoint pairing
→ 조명·시점 변화가 작을 때 정확, keypoint가 sparse하기 때문에 계산량이 적음, 조건이 좋으면 수 ms 내 매우 정확한 매칭 가능
- 다만 이런 keypoint-based 방법들은 matching을 두 이미지간의 독립적인 keypoint들의 집합(bag-of-keypoint)을 미칭하는 문제로 보고 global geometric context(keypoint들 간의 상대적 위치 관계, 장면의 전체 레이아웃 등..)를 고려하지 않음
- SuperGlue와 같이 keypoint를 pairing하는 단계에서 global optimization(attention같은거를 써서 keypoint간의 관계를 만들어 내는식…)하는 연구들이 어느정도 성능이 나오지만, global optimization은 pairing 단계에서만 작동하기 때문에 keypoint 위치, descriptor 표현 자체가 이미 정보가 부족할 수 있다.
- global attention mechanism의 등장으로 이미지 전체를 holistic하게 처리하는 것이 가능해짐 →dense holistic matching 방법이 등장, 이미지상의 keypoint들을 매칭하는게 아니라 이미지 전체를 매칭하는 방식(ex. LoFTR)
- LoFTR는 다만 matching을 image space에서의 2d problem이라고 여기고 풀어왔음
- matching 보다는 3D reconstruction을 푼 DUSt3R에서 두 이미지간의 correspondence는 3d output의 부산물 정도인데, 이 3d output에서 단순하게 얻은 correspondence만으로도 keypoint 기반 방식이나 matching 기반 방식보다 성능이 좋음
- 이러한 점에서 DUSt3R를 matching을 하는데 사용할 수도 있지만, 아무래도 2d correspondence를 찾는데 부정확하기 때문에 dense local feature map을 얻는 두번째 head를 붙이고, InfoNCE loss를 이용해서 학습시킴
- DUSt3R에 기반한 3D-aware matching approach인 MASt3R 제안
- highly accurate / robust한 매칭이 가능한 local feature maps 추출가능
- 고해상도 이미지에도 대응가능한 coarse-to-fine matching 방법 제안
- absolute / relative pose localization benchmarks에서 SOTA 달성
3. Method

- parameter를 모르는 카메라 로 찍힌 이미지 두장 ()가 주어졌을때, pixel correspondences 를 얻는게 목표
3.1. The DUSt3R framework
- DUSt3R는 두 이미지를 받아서 calibration과 3D recon을 하는 프레임워크
- DUSt3R에서는 transformer기반 네트워크로 두 이미지에서 local 3D recon(Pointcloud = Pointmap)을 예측
- pointmap 은 이미지 의 각 pixel 와 카메라 좌표계에서의 3D point 간의 2D-to-3D mapping을 의미
- 입력으로 들어가는 두 이미지는 같은 encoder에 들어가서 인코딩됨
- 이렇게 추출된 representation H^1, H^2는 Decoder에 들어가서 cross attention을 거쳐서 두 viewpoint간의 공간관계가 계산되게 됨
- encoder와 decoder에서 나온 representation을 합치고, 두개의 prediction head를 통해서 최정 pointmap와 confidence map을 regress
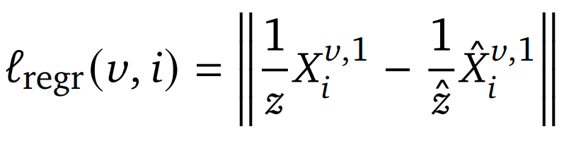
Regression loss
- DUSt3R는 다음과 같은 loss로 학습됨

- : 2개 view
- : 3D point 이 정의된 pixel
- : scale normalization factor. (해당 view의 모든 valid 3D point들의 origin까지의 평균 거리 → scale-invariant reconstruction)
- MASt3R는 scale-invariance는 항상 바람직하지 않다고 줒장. map-free visual localization의 경우 metric scale이 필요
→ ground-truth가 metric scale인 경우 예측값만 정규화하지 않도록 수정
- DUSt3R의 최종 confidence-aware regression loss는 다음과 같음

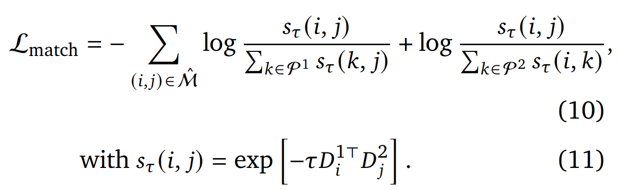
3.2. Matching prediction head and loss
- DUSt3R의 invariant feature space에서 상호간의 match를 찾는 방식 사용함. 이는 극단적인 viewpoint 변화에도 robust 하지만 그러나 pixel-level correspondences 정확도는 낮음
- MASt3R에서는 dense feature map 를 예측하는 head를 추가
- GT correspondence 에 대해서 infoNCE loss 사용
- : subset of considered pixels
- : temperature hyper-parameter

- 기존에 DUSt3R가 학습했던 loss와 다르게 정확한 pixel간의 correspondence(nearby pixel X)를 찾을때만 reward를 받도록 loss설계
- 최종 loss는 다음과 같음

3.3. Fast reciprocal matching
- 예측된 dense feature map 에서 set of reliable pixel correspondences를 찾는 과정에서 기존의 reciprocal matching는 모든 pixel쌍을 비교해야하기 때문에 의 계산 복잡도를 가짐

- 논문에서는 따라서 sub-sampling을 기반해서 한 방법제안. 이미지 에서 grid sampling을 통해서 선정한 sparse set of k pixels 에서 시작하는 방식
- 이렇게 선정된 각 pixel은 의 Nearset Neighbor(NN)에 매핑되어 을 만듬. 그리고 다시 은 같은 방식으로 에 매핑됨

- 이렇게 cycle을 형성한 을 set of reciprocal matches로 판별
- iteration에서 이미 수렴한 pixel들은 제거
- 같은 방식으로 도 filtering
- 최종 correspondence

- 위의 그림에서 볼수 있듯 몇 iteration후에 대부분의 correspondence가 수렴하고, 계산복잡도가 낮아짐
3.4. Coarse-to-fine matching
- attention의 계산복잡도 때문에, MASt3R는 긴변이 512 픽셀인 이미지만 처리. 따라서 고해상도 이미지는 이미지를 축소해서 input으로 넣어줘야함.
- 이런식으로 계산된 correspondence가 다시 원래 해상도로 upscale되면 성능의 저하가 있을수 있음
- Coarse-to-fine matching 방식은 저해상도 알고리즘 방식을 이용하면서 고해상도 이미지간의 매칭의 이점을 보존하는 기술
- coarse matching : 입력 이미지 I_1, I_2를 다운스케일, MASt3R + fast reciprocal matching 수행 → M_k^0 (coarse correspondence 집합)
- 원본이미지 각각에서 겹치는 window 를 생성
- 모든 가능한 window pair:
- 이 중에서 coarse correspondence 를 가장 많이 포함하는 window pair들만 선택
- window pair를 하나씩 greedy하게 추가, 선택된 window pair들이coarse correspondence의 90% 이상을 커버할 때까지 반복
- 각 window pair에서 얻은 correspondence를 window 좌표계 → 원본 이미지 좌표계로 변환
- 모든 window pair 결과를 concatenate → 고해상도(full-resolution) dense correspondence 집합

4. Experimental results

